Дополнительная задача 4 Глава 4 ГДЗ Мордкович Семенов 9 класс (Алгебра)
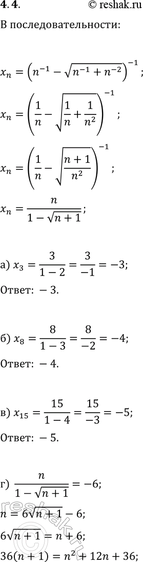
4. Для последовательности x_n=(n^(-1)-v(n^(-1)+n^(-2)))^(-1) найдите: а) x_3; б) x_8; в) x_15; г) n, если x_n=-6; д) n, если x_n=-9; е) номер члена последовательности, который удалён от числа —3,5 на наименьшее расстояние.


Ниже вариант решения задания из учебника Мордкович, Семенов, Александрова 9 класс, Бином:
4. Для последовательности x_n=(n^(-1)-v(n^(-1)+n^(-2)))^(-1) найдите:
а) x_3; б) x_8; в) x_15; г) n, если x_n=-6; д) n, если x_n=-9;
е) номер члена последовательности, который удалён от числа —3,5 на наименьшее расстояние.
