Дополнительная задача 9 Глава 4 ГДЗ Мордкович Семенов 9 класс (Алгебра)
9. Восьмого марта Карл украл у Клары несколько кораллов. Кражи продолжились через три дня на четвёртый, и каждый раз крали на 5 кораллов меньше, чем в предыдущий день.


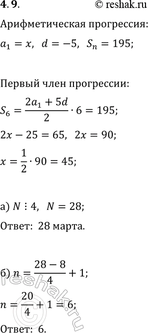
Ниже вариант решения задания из учебника Мордкович, Семенов, Александрова 9 класс, Бином:
9. Восьмого марта Карл украл у Клары несколько кораллов. Кражи продолжились через три дня на четвёртый, и каждый раз крали на 5 кораллов меньше, чем в предыдущий день. За март было украдено 195 кораллов. Найдите:
а) последний день в марте, когда произошла кража;
б) количество дней в марте, когда происходили кражи;
в) первый апрельский день кражи;
г) последний апрельский день кражи;
д) количество всех дней кражи;
е) общее количество украденных кораллов.
