Упражнение 1.13 ГДЗ Мерзляк 10 класс Углубленный уровень (Алгебра)
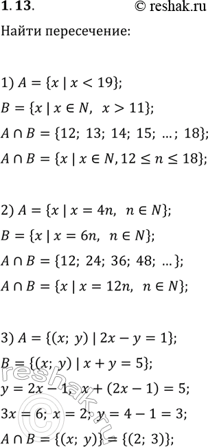
1.13. Найдите пересечение множеств A и В, если: 1) A={x | x 11}; 2) A={x | x=4n, n?N}, B={x | x=6n, n?N};

Ниже вариант решения задания из учебника Мерзляк, Номировский, Поляков 10 класс, Просвещение:
1.13. Найдите пересечение множеств A и В, если:
1) A={x | x 11};
2) A={x | x=4n, n?N}, B={x | x=6n, n?N};
3) A={(x, y) | 2x-y=1}, B={(x, y) | x+y=5}.
