Упражнение 24.11 ГДЗ Мерзляк 10 класс Углубленный уровень (Алгебра)
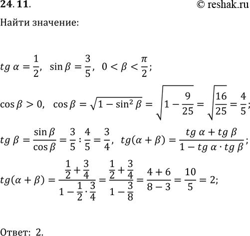
24.11. Дано: tg(?)=1/2, sin(?)=3/5, 0 *Цитирирование задания со ссылкой на учебник производится исключительно в учебных целях для лучшего понимания разбора решения задания.

Ниже вариант решения задания из учебника Мерзляк, Номировский, Поляков 10 класс, Просвещение:
24.11. Дано: tg(?)=1/2, sin(?)=3/5, 0
