Упражнение 1.1 ГДЗ Мерзляк 11 класс Базовый уровень (Алгебра)
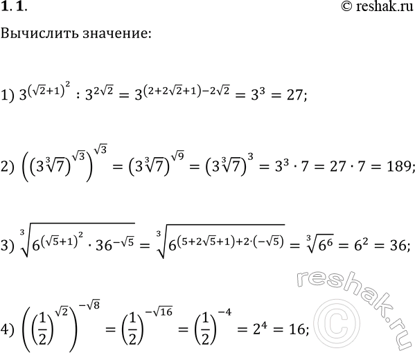
1.1. Вычислите значение выражения: 1) 3^(v2+1)^2 : 3^(2v2); 2) ((3 7^(1/3))^(v3))^(v3); 3) (6^(v5+1)^2·36^(-v5))^(1/3); 4) ((1/2)^(v2))^(-v8). *Цитирирование задания со ссылкой на учебник производится исключительно в учебных целях для лучшего понимания разбора решения задания.

Ниже вариант решения задания из учебника Мерзляк, Номировский, Полонский 11 класс, Просвещение:
1.1. Вычислите значение выражения:
1) 3^(v2+1)^2 : 3^(2v2);
2) ((3 7^(1/3))^(v3))^(v3);
3) (6^(v5+1)^2·36^(-v5))^(1/3);
4) ((1/2)^(v2))^(-v8).
