Упражнение 15.3 ГДЗ Мерзляк 11 класс Базовый уровень (Алгебра)
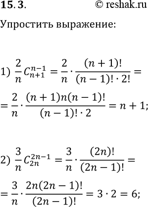
15.3. Упростите выражение: 1) 2/n C(n+1, n-1); 2) 3/n C(2n, 2n-1). *Цитирирование задания со ссылкой на учебник производится исключительно в учебных целях для лучшего понимания разбора решения задания.

Ниже вариант решения задания из учебника Мерзляк, Номировский, Полонский 11 класс, Просвещение:
15.3. Упростите выражение:
1) 2/n C(n+1, n-1);
2) 3/n C(2n, 2n-1).
