Упражнение 16.19 ГДЗ Мерзляк 11 класс Базовый уровень (Алгебра)
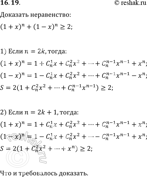
16.19. Для всех x?R и n?N докажите неравенство (1+x)^n+(1-x)^n?2. *Цитирирование задания со ссылкой на учебник производится исключительно в учебных целях для лучшего понимания разбора решения задания.

Ниже вариант решения задания из учебника Мерзляк, Номировский, Полонский 11 класс, Просвещение:
16.19. Для всех x?R и n?N докажите неравенство (1+x)^n+(1-x)^n?2.
