Упражнение 17.17 ГДЗ Мерзляк 11 класс Базовый уровень (Алгебра)
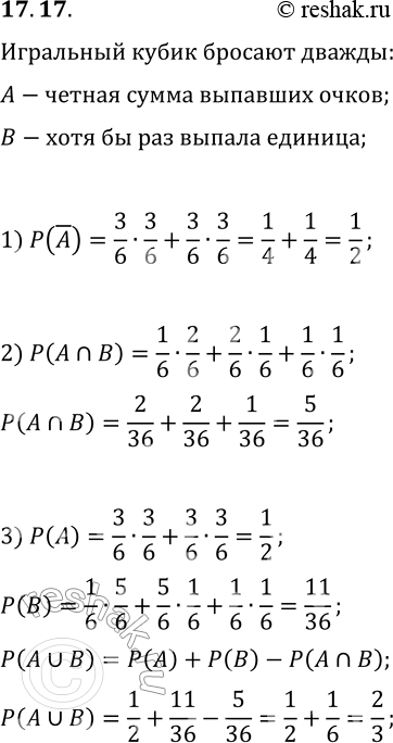
17.17. Игральный кубик подбросили дважды. Событие А состоит в том, что сумма очков, выпавших на кубике, чётная; событие В — в том, что по крайней мере один раз выпала единица.

Ниже вариант решения задания из учебника Мерзляк, Номировский, Полонский 11 класс, Просвещение:
17.17. Игральный кубик подбросили дважды. Событие А состоит в том, что сумма очков, выпавших на кубике, чётная; событие В — в том, что по крайней мере один раз выпала единица. Найдите вероятность события:
1) !A; 2) A?B; 3) A?B.
