Упражнение 17.27 ГДЗ Мерзляк 11 класс Базовый уровень (Алгебра)
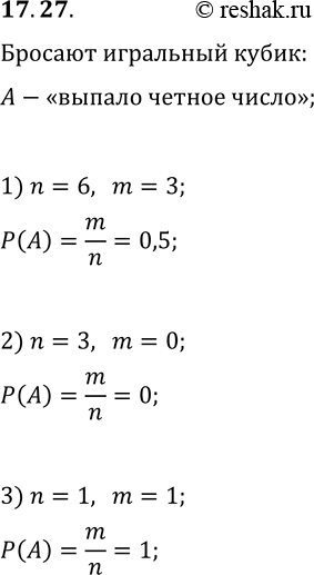
17.27. Кубик подбрасывают один раз. Событие состоит в том, что на кубике выпадет чётное число. 1) Найдите вероятность события A. 2) Найдите вероятность события A, если известно, что на кубике выпало нечётное число.

Ниже вариант решения задания из учебника Мерзляк, Номировский, Полонский 11 класс, Просвещение:
17.27. Кубик подбрасывают один раз. Событие состоит в том, что на кубике выпадет чётное число.
1) Найдите вероятность события A.
2) Найдите вероятность события A, если известно, что на кубике выпало нечётное число.
3) Найдите вероятность события A, если известно, что на кубике выпала двойка.
