Упражнение 19.2 ГДЗ Мерзляк 11 класс Базовый уровень (Алгебра)
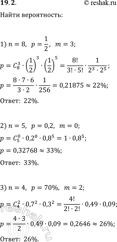
19.2. Найдите вероятность того, что в схеме Бернулли с параметрами n и p число успешных исходов равно m, если: 1) n=8, p=1/2, m=3;

Ниже вариант решения задания из учебника Мерзляк, Номировский, Полонский 11 класс, Просвещение:
19.2. Найдите вероятность того, что в схеме Бернулли с параметрами n и p число успешных исходов равно m, если:
1) n=8, p=1/2, m=3;
2) n=5, p=0,2, m=0;
3) n=4, p=70%, m=2.
