Упражнение 7.10 ГДЗ Мерзляк 11 класс Базовый уровень (Алгебра)
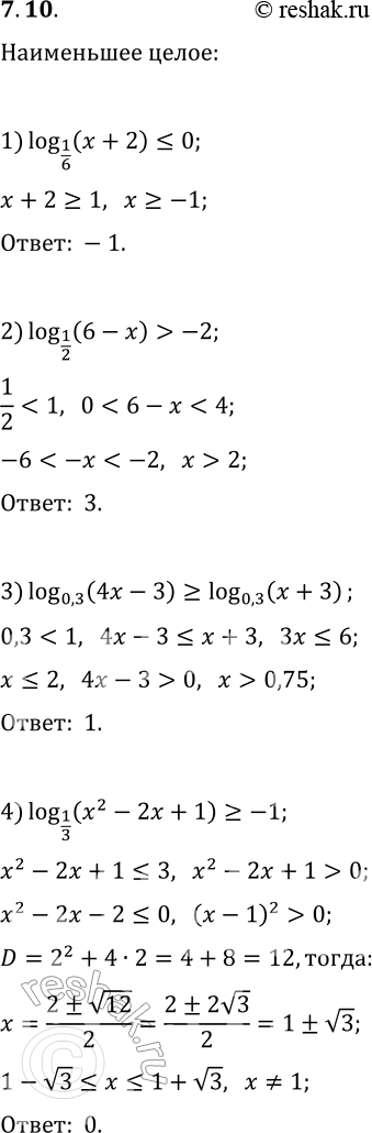
7.10. Найдите наименьшее целое решение неравенства: 1) log_(1/6) (x+2)?0; 3) log_0,3 (4x-3)?log_0,3 (x+3); 2) log_(1/2) (6-x) > -2; 4) log_(1/3) (x^2-2x+1)?-1.

Ниже вариант решения задания из учебника Мерзляк, Номировский, Полонский 11 класс, Просвещение:
7.10. Найдите наименьшее целое решение неравенства:
1) log_(1/6) (x+2)?0; 3) log_0,3 (4x-3)?log_0,3 (x+3);
2) log_(1/2) (6-x) > -2; 4) log_(1/3) (x^2-2x+1)?-1.
