Задание 3 Параграф 27 ГДЗ Рабочая тетрадь 2 Мерзляк Полонский 7 класс (Алгебра)
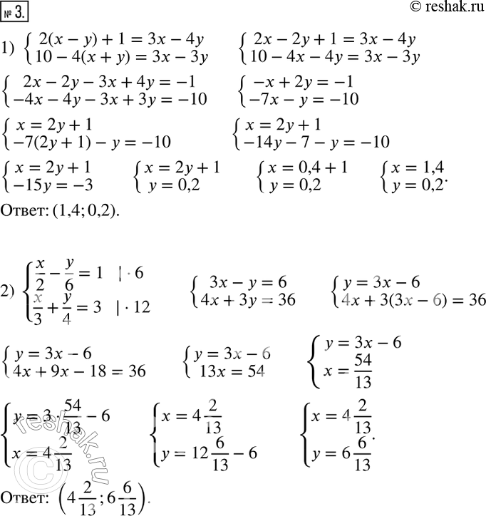
3. Найдите решения системы уравнений: 1) {(2(x-y)+1=3x-4y; 10-4(x+y)=3x-3y); 2) {(x/2-y/6=1; x/3+y/4=3); 3) {((2x+3)/7-(5y-1)/2=1; 3y+x=12); 4) {((3x-2)/7-(2y+1)/3=4; (x+y)/4+(5x-y)/8=2).


Ниже вариант решения задания из учебника Мерзляк, Полонская, Якир 7 класс, Вентана-Граф:
3. Найдите решения системы уравнений:
1) {(2(x-y)+1=3x-4y; 10-4(x+y)=3x-3y);
2) {(x/2-y/6=1; x/3+y/4=3);
3) {((2x+3)/7-(5y-1)/2=1; 3y+x=12);
4) {((3x-2)/7-(2y+1)/3=4; (x+y)/4+(5x-y)/8=2).
