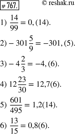
Упражнение 767 ГДЗ Муравин 6 класс (Математика)
767. Представьте в виде бесконечной периодической десятичной дроби число: 1) 14/99; 4) 12 23/30; 2) -301 5/9; 5) 601/495; 3) -4 2/3;

Ниже вариант решения задания из учебника Муравин, Муравина 6 класс, Дрофа:
767. Представьте в виде бесконечной периодической десятичной дроби число:
1) 14/99; 4) 12 23/30;
2) -301 5/9; 5) 601/495;
3) -4 2/3; 6) 13/15.
