Упражнение 769 ГДЗ Муравин 6 класс (Математика)
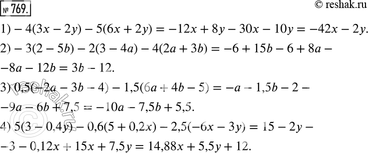
769. Упростите выражение: 1)-4(3x-2y)-5(6x+2y); 2)-3(2-5b)-2(3-4a)-4(2a+3b); 3) 0,5(-2a-3b-4)-1,5(6a+4b-5); 4) 5(3-0,4y)-0,6(5+0,2x)-2,5(-6x-3y).

Ниже вариант решения задания из учебника Муравин, Муравина 6 класс, Дрофа:
769. Упростите выражение:
1)-4(3x-2y)-5(6x+2y);
2)-3(2-5b)-2(3-4a)-4(2a+3b);
3) 0,5(-2a-3b-4)-1,5(6a+4b-5);
4) 5(3-0,4y)-0,6(5+0,2x)-2,5(-6x-3y).
