Упражнение 831 ГДЗ Колягин Ткачёва 7 класс (Алгебра)
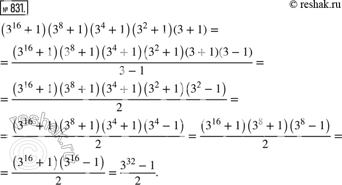
831. Упростить выражение (3^16+1)(3^8+1)(3^4+1)(3^2+1)(3+1).

Ниже вариант решения задания из учебника Колягин, Ткачёва, Фёдорова 7 класс, Просвещение:
831. Упростить выражение
(3^16+1)(3^8+1)(3^4+1)(3^2+1)(3+1).
