Упражнение 178 ГДЗ Мерзляк 8 класс (Алгебра)
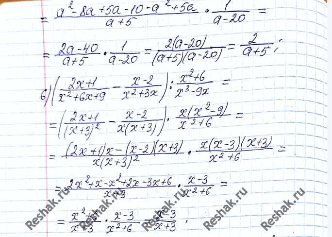
178. Выполните действия: 1) (a+2)/(a2-2a+1) : (a2-4)/(3a-3) - 3/(a-2); 2) (b2+3b)/(b3+9b) * ((b-3)/(b+3) + (b+3)/(b-3));






Ниже вариант решения задания из учебника Мерзляк, Полонская, Якир 8 класс, Вентана-Граф:
178. Выполните действия:
1) (a+2)/(a2-2a+1) : (a2-4)/(3a-3) - 3/(a-2);
2) (b2+3b)/(b3+9b) * ((b-3)/(b+3) + (b+3)/(b-3));
