Упражнение 905 ГДЗ Мерзляк 8 класс (Алгебра)
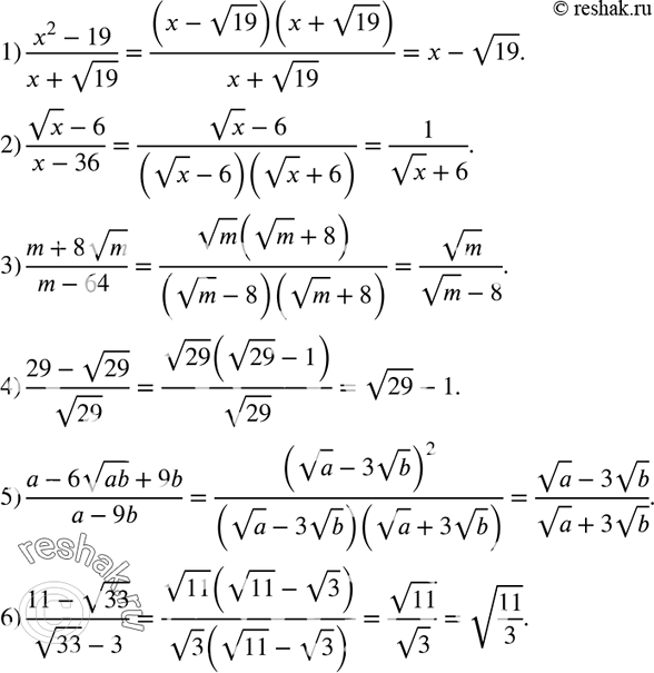
905. Сократите дробь: 1) (x2 - 19)/(x + корень 19); 2) (корень x - 6)/(x - 36);


Ниже вариант решения задания из учебника Мерзляк, Полонская, Якир 8 класс, Вентана-Граф:
905. Сократите дробь:
1) (x2 - 19)/(x + корень 19);
2) (корень x - 6)/(x - 36);
