Упражнение 907 ГДЗ Мерзляк 8 класс (Алгебра)
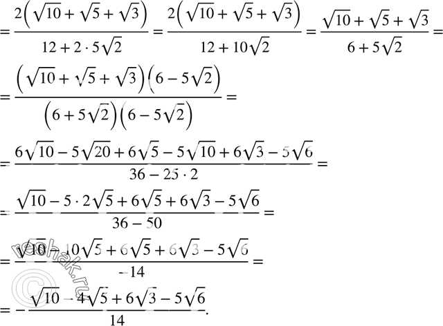
907. Освободитесь от иррациональности в знаменателе дроби: 1) 1/ (корень 6 + корень 2 + 1); 2) 2/ (корень 10 + корень 5 - корень 3).




Ниже вариант решения задания из учебника Мерзляк, Полонская, Якир 8 класс, Вентана-Граф:
907. Освободитесь от иррациональности в знаменателе дроби:
1) 1/ (корень 6 + корень 2 + 1);
2) 2/ (корень 10 + корень 5 - корень 3).
