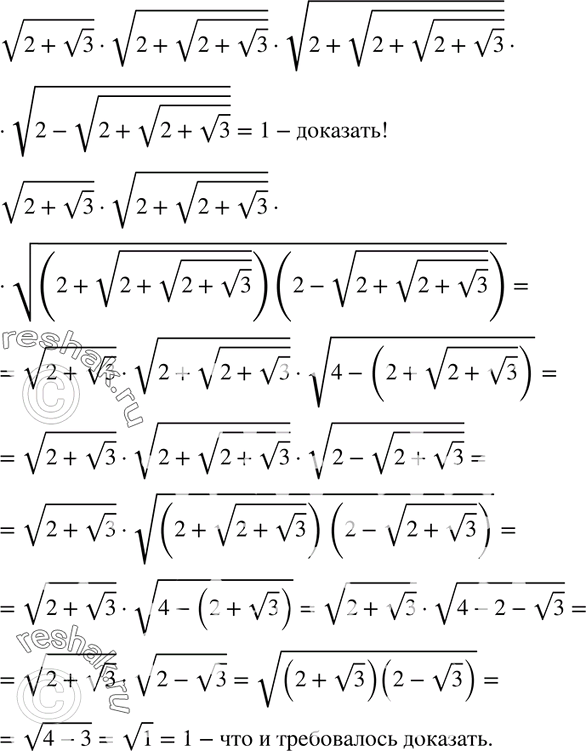
Упражнение 912 ГДЗ Мерзляк 8 класс (Алгебра)
912. Докажите, что: корень (2 + корень 3) * корень (2 + корень (2 + корень 3)) * корень (корень (2 + корень (2 + корень 3))) * корень (корень (корень (2 + корень (2 + корень 3)))) = 1.



Ниже вариант решения задания из учебника Мерзляк, Полонская, Якир 8 класс, Вентана-Граф:
912. Докажите, что:
корень (2 + корень 3) * корень (2 + корень (2 + корень 3)) * корень (корень (2 + корень (2 + корень 3))) * корень (корень (корень (2 + корень (2 + корень 3)))) = 1.
