Упражнение 589 ГДЗ Макарычев Миндюк 8 класс (Алгебра)
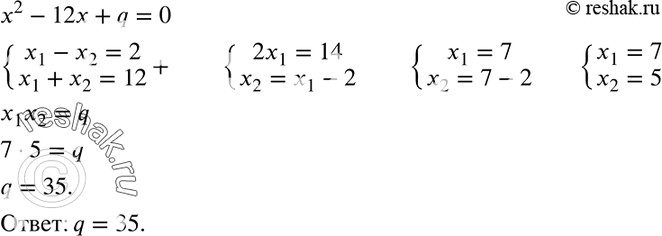
589. Разность корней квадратного уравнения х2 - 12х + q = 0 равна 2. Найдите q.



Ниже вариант решения задания из учебника Макарычев, Миндюк, Нешков 8 класс, Просвещение:
589. Разность корней квадратного уравнения х2 - 12х + q = 0 равна 2. Найдите q.
