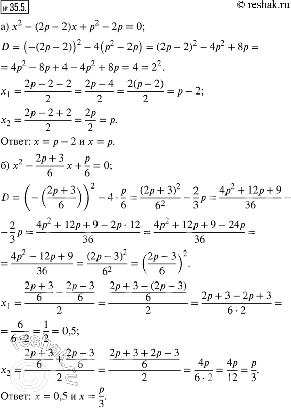
Упражнение 35.5 ГДЗ Мордкович Семенов 8 класс (Алгебра)
35.5. Решите уравнени с параметром p: а) x^2 - (2p - 2)x + p^2 - 2p = 0; б) x^2 - (2p + 3)x/6 + p/6 = 0;



Ниже вариант решения задания из учебника Мордкович, Семенов, Александрова 8 класс, Бином:
35.5. Решите уравнени с параметром p:
а) x^2 - (2p - 2)x + p^2 - 2p = 0;
б) x^2 - (2p + 3)x/6 + p/6 = 0;
в) (2p - 1)x^2 - px + 1 - p = 0;
г) x^2 + (3p + 2)x/6 + p/6 = 0;
д) x^2 - (3p + 2)x/6 + p/6 = 0;
е) px^2 - (3p - 1)x + 2p - 1 = 0.
