Упражнение 413 ГДЗ Дорофеев Суворова 8 класс (Алгебра)
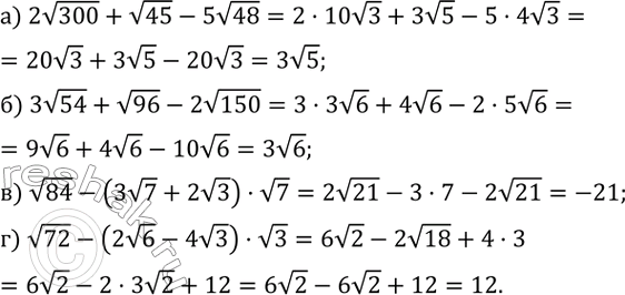
413. Докажите, что: а) 2v300+v45-5v48=3v5; б) 3v54+v96-2v150=3v6; в) v84-(3v7+2v3)•v7=-21; г) v72-(2v6-4v3)•v3=12.

Ниже вариант решения задания из учебника Дорофеев, Суворова, Бунимович 8 класс, Просвещение:
413. Докажите, что:
а) 2v300+v45-5v48=3v5;
б) 3v54+v96-2v150=3v6;
в) v84-(3v7+2v3)•v7=-21;
г) v72-(2v6-4v3)•v3=12.
