Упражнение 470 ГДЗ Колягин Ткачёва 8 класс (Алгебра)
470. Решить уравнение: 1) 10/(x-3)-8/x=1; 2) 2/(x-5)+14/x=3; 3) 1/x+1/(x+3)=3/20; 4) 40/(x-20)-40/x=1; 5) 1/(x-3)+1/(x+3)=5/8; 6) 4/(x-2)+4/(x+2)=1,5.



Ниже вариант решения задания из учебника Колягин, Ткачёва, Фёдорова 8 класс, Просвещение:
470. Решить уравнение:
1) 10/(x-3)-8/x=1;
2) 2/(x-5)+14/x=3;
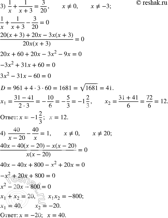
3) 1/x+1/(x+3)=3/20;
4) 40/(x-20)-40/x=1;
5) 1/(x-3)+1/(x+3)=5/8;
6) 4/(x-2)+4/(x+2)=1,5.
