Упражнение 475 ГДЗ Колягин Ткачёва 8 класс (Алгебра)
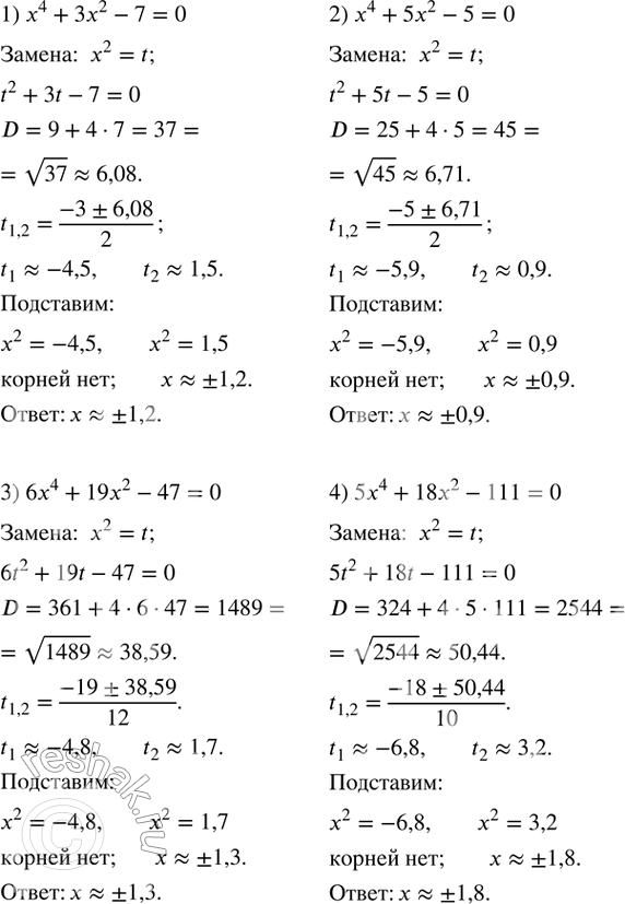
475. С помощью микрокалькулятора решить уравнение: 1) x^4+3x^2-7=0; 2) x^4+5x^2-5=0; 3) 6x^4+19x^2-47=0; 4) 5x^4+18x^2-111=0.

Ниже вариант решения задания из учебника Колягин, Ткачёва, Фёдорова 8 класс, Просвещение:
475. С помощью микрокалькулятора решить уравнение:
1) x^4+3x^2-7=0;
2) x^4+5x^2-5=0;
3) 6x^4+19x^2-47=0;
4) 5x^4+18x^2-111=0.
