Упражнение 298 ГДЗ Макарычев Миндюк 9 класс (Алгебра)
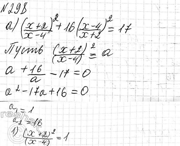
298. Найдите корни уравнения:





Ниже вариант решения задания из учебника Макарычев, Миндюк, Нешков 9 класс, Просвещение:
298. Найдите корни уравнения:





Ниже вариант решения задания из учебника Макарычев, Миндюк, Нешков 9 класс, Просвещение:
298. Найдите корни уравнения: