Упражнение 385 ГДЗ Макарычев Миндюк 9 класс (Алгебра)
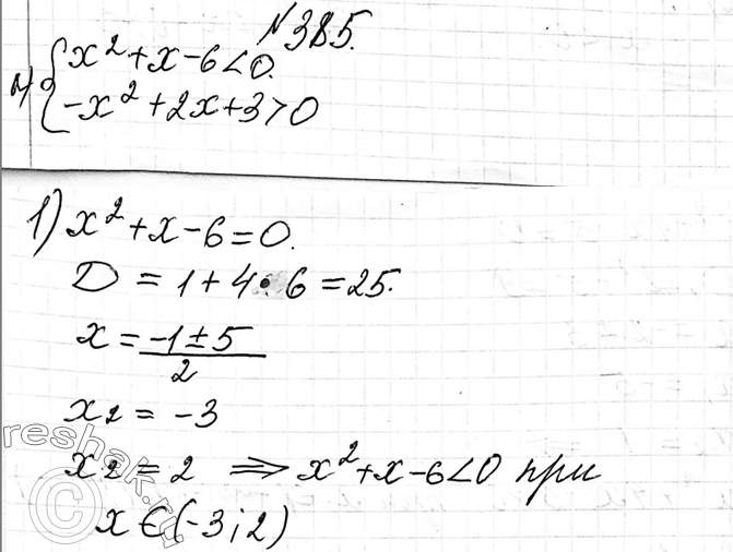
385. Решите систему неравенств: а) система x2+x-6-x2+2x+3>0; б)система x2+4x-5>0, x2-2x-8





Ниже вариант решения задания из учебника Макарычев, Миндюк, Нешков 9 класс, Просвещение:
385. Решите систему неравенств:
а) система
x2+x-6
-x2+2x+3>0;
б)система
x2+4x-5>0,
x2-2x-8
