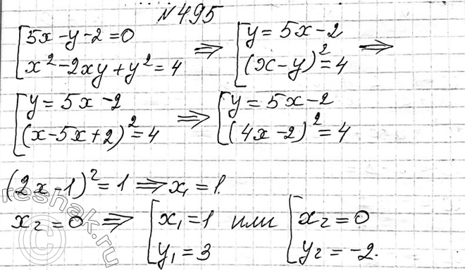
Упражнение 495 ГДЗ Макарычев Миндюк 9 класс (Алгебра)
495. Решите систему уравнений система 5x-y-2=0, x2-2xy+y2=4.


Ниже вариант решения задания из учебника Макарычев, Миндюк, Нешков 9 класс, Просвещение:
495. Решите систему уравнений
система
5x-y-2=0,
x2-2xy+y2=4.
