Упражнение 499 ГДЗ Макарычев Миндюк 9 класс (Алгебра)
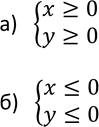
499 Задайте системой неравенств: а) первую координатную четверть (включая оси координат); б) третью координатную четверть (включая оси координат).


Ниже вариант решения задания из учебника Макарычев, Миндюк, Нешков 9 класс, Просвещение:
499 Задайте системой неравенств:
а) первую координатную четверть (включая оси координат);
б) третью координатную четверть (включая оси координат).
