Упражнение 1422 ГДЗ Макарычев Миндюк 9 класс (Углубленный) (Алгебра)
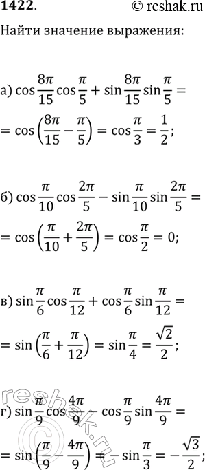
1422. Вычислите: а) cos(8?/15)cos(?/5)+sin(8?/15)sin(?/5); б) cos(?/10)cos(2?/5)-sin(?/10)sin(2?/5); в) sin(?/6)cos(?/12)+cos(?/6)sin(?/12); г) sin(1/9?)cos(4/9?)-cos(1/9?)sin(4/9?).

Ниже вариант решения задания из учебника Макарычев, Миндюк, Нешков 9 класс, Просвещение:
1422. Вычислите:
а) cos(8?/15)cos(?/5)+sin(8?/15)sin(?/5);
б) cos(?/10)cos(2?/5)-sin(?/10)sin(2?/5);
в) sin(?/6)cos(?/12)+cos(?/6)sin(?/12);
г) sin(1/9?)cos(4/9?)-cos(1/9?)sin(4/9?).
