Упражнение 1512 ГДЗ Макарычев Миндюк 9 класс (Углубленный) (Алгебра)
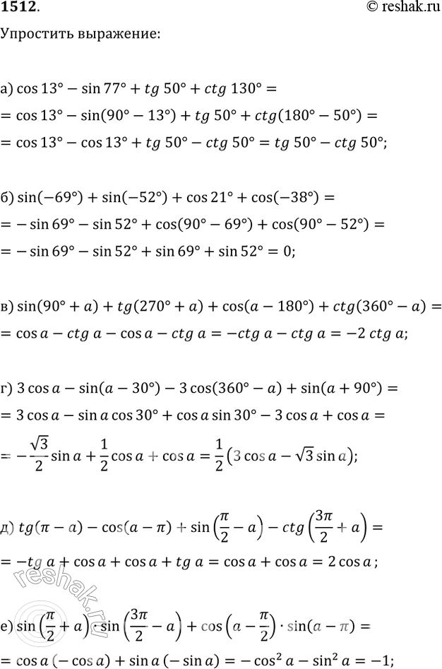
1512. Упростите выражение: а) cos(13°)-sin(77°)+tg(50°)+ctg(130°); б) sin(-69°)+sin(-52°)+cos(21°)+cos(-38°); в) sin(90°+?)+tg(270°+?)+cos(?-180°)+ctg(360°-?); г) 3cos(?)-sin(?-30°)-3cos(360°-?)+sin(?+90°); д) tg(?-?)-cos(?-?)+sin(?/2-?)-ctg(3?/2+?); е) sin(?/2+?)sin(3?/2-?)+cos(?-?/2)sin(?-?).

Ниже вариант решения задания из учебника Макарычев, Миндюк, Нешков 9 класс, Просвещение:
1512. Упростите выражение:
а) cos(13°)-sin(77°)+tg(50°)+ctg(130°);
б) sin(-69°)+sin(-52°)+cos(21°)+cos(-38°);
в) sin(90°+?)+tg(270°+?)+cos(?-180°)+ctg(360°-?);
г) 3cos(?)-sin(?-30°)-3cos(360°-?)+sin(?+90°);
д) tg(?-?)-cos(?-?)+sin(?/2-?)-ctg(3?/2+?);
е) sin(?/2+?)sin(3?/2-?)+cos(?-?/2)sin(?-?).
