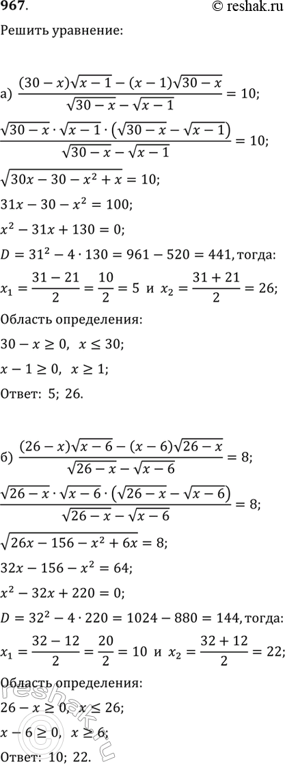
Упражнение 967 ГДЗ Макарычев Миндюк 9 класс (Углубленный) (Алгебра)
967. Решите уравнение: а) ((30-x)v(x-1)-(x-1)v(30-x))/(v(30-x)-v(x-1))=10; б) ((26-x)v(x-6)-(x-6)v(26-x))/(v(26-x)-v(x-6))=8.

Ниже вариант решения задания из учебника Макарычев, Миндюк, Нешков 9 класс, Просвещение:
967. Решите уравнение:
а) ((30-x)v(x-1)-(x-1)v(30-x))/(v(30-x)-v(x-1))=10;
б) ((26-x)v(x-6)-(x-6)v(26-x))/(v(26-x)-v(x-6))=8.
