Упражнение 770 ГДЗ Мерзляк Полонский 9 класс (Геометрия)
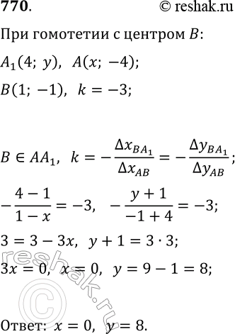
770. Точка A1(4; у) — образ точки A(х; -4) при гомотетии с центром В(1; —1) и коэффициентом k=—3. Найдите х и у.

Ниже вариант решения задания из учебника Мерзляк, Полонская, Якир 9 класс, Вентана-Граф:
770. Точка A1(4; у) — образ точки A(х; -4) при гомотетии с центром В(1; —1) и коэффициентом k=—3. Найдите х и у.
