Упражнение 152 ГДЗ Никольский Потапов 9 класс (Алгебра)
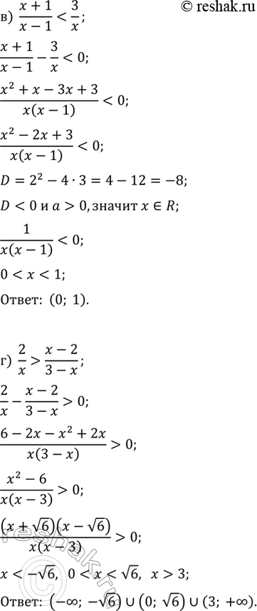
152. а) x/(x-1)б) 3/x>5x/3 в) (x+1)/(x-1)г) 2/x>(x-2)/(3-x)




Ниже вариант решения задания из учебника Никольский, Потапов 9 класс, Просвещение:
152.
а) x/(x-1)
б) 3/x>5x/3
в) (x+1)/(x-1)
г) 2/x>(x-2)/(3-x)
