Упражнение 501 ГДЗ Никольский Потапов 9 класс (Алгебра)
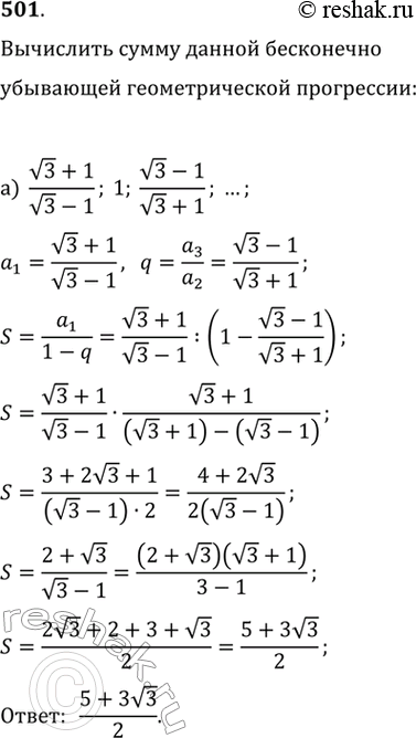
501. Найдите сумму бесконечно убывающей геометрической прогрессии: а) (v3+1)/(v3-1);1;(v3-1)/(v3+1);… б) (v2+1)/(v2-1);1;(v2-1)/(v2+1);…



Ниже вариант решения задания из учебника Никольский, Потапов 9 класс, Просвещение:
501. Найдите сумму бесконечно убывающей геометрической прогрессии:
а) (v3+1)/(v3-1);1;(v3-1)/(v3+1);…
б) (v2+1)/(v2-1);1;(v2-1)/(v2+1);…
