Упражнение 588 ГДЗ Никольский Потапов 9 класс (Алгебра)
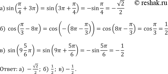
588. Вычислите: а) sin(пи/4+3пи) б) cos(пи/3-8пи) в) sin(9 5/6 пи)


Ниже вариант решения задания из учебника Никольский, Потапов 9 класс, Просвещение:
588. Вычислите:
а) sin(пи/4+3пи)
б) cos(пи/3-8пи)
в) sin(9 5/6 пи)
