Упражнение 589 ГДЗ Никольский Потапов 9 класс (Алгебра)
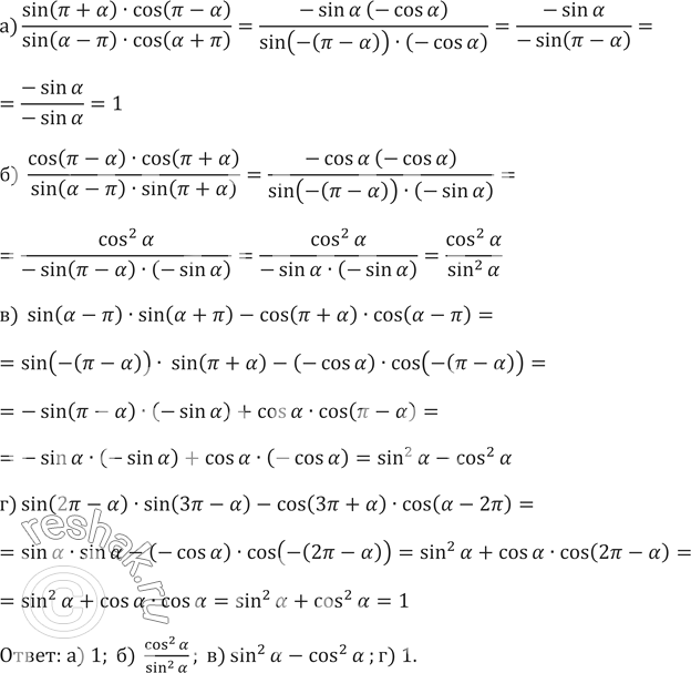
589. Упростите выражение: а) (sin(пи+а)•cos(пи-а))/(sin(а-пи)•cos(а+пи)) б) (cos(пи-а)•cos(пи+а))/(sin(а-пи)•sin(пи+а)) в) sin(а-пи)•sin(а+пи)-cos(пи+а)•cos(а-пи) г) sin(2пи-а)•sin(3пи-а)-cos(3пи+а)•cos(а-2пи)


Ниже вариант решения задания из учебника Никольский, Потапов 9 класс, Просвещение:
589. Упростите выражение:
а) (sin(пи+а)•cos(пи-а))/(sin(а-пи)•cos(а+пи))
б) (cos(пи-а)•cos(пи+а))/(sin(а-пи)•sin(пи+а))
в) sin(а-пи)•sin(а+пи)-cos(пи+а)•cos(а-пи)
г) sin(2пи-а)•sin(3пи-а)-cos(3пи+а)•cos(а-2пи)
