Упражнение 249 ГДЗ Никольский Потапов 7 класс (Алгебра)
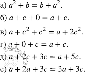
249. Заполните пропуски, применив свойство многочленов: а) а2 + b = Ь + ...; б) а + с + 0 = а + ...;

Ниже вариант решения задания из учебника Никольский, Потапов 7 класс, Просвещение:
249. Заполните пропуски, применив свойство многочленов:
а) а2 + b = Ь + ...;
б) а + с + 0 = а + ...;
в) а + с2 + с2 = а + ...;
г) а + 0 + с = ...;
д) а + 2с + Зс = ...;
е) а + 2а + Зс = ... .
