Упражнение 513 ГДЗ Никольский Потапов 7 класс (Алгебра)
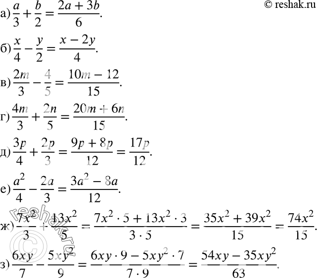
Преобразуйте в алгебраическую дробь (513—528): 513 а) a/3+b/2; б) x/4-y/2; в) 2m/3-4/5; г) 4m/3+2n/5; д) 3p/4+2p/3; е) a2/4-2a/3; ж) 7x2/3+13x2/5; з) 5xy/7-5xy2/9.

Ниже вариант решения задания из учебника Никольский, Потапов 7 класс, Просвещение:
Преобразуйте в алгебраическую дробь (513—528):
513 а) a/3+b/2;
б) x/4-y/2;
в) 2m/3-4/5;
г) 4m/3+2n/5;
д) 3p/4+2p/3;
е) a2/4-2a/3;
ж) 7x2/3+13x2/5;
з) 5xy/7-5xy2/9.
