Упражнение 516 ГДЗ Никольский Потапов 7 класс (Алгебра)
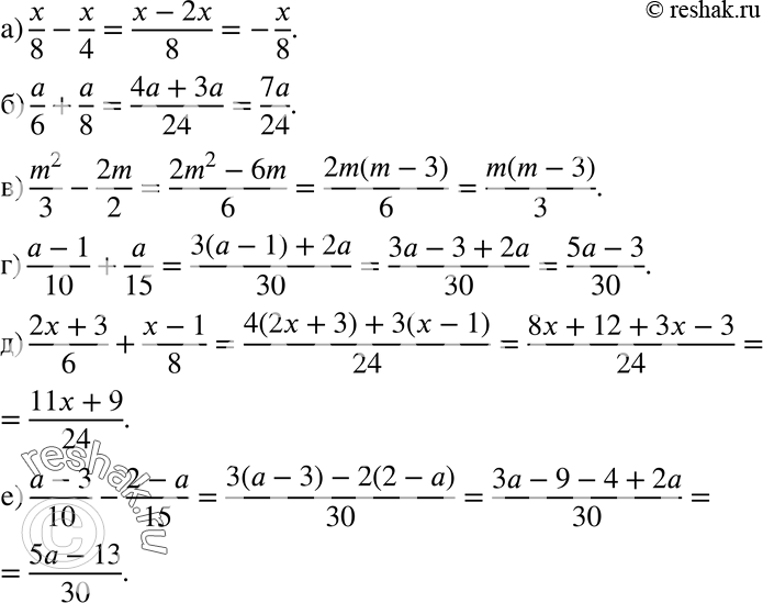
516 а) x/8-x/4; б) a/6+a/8; в) m2/3-2m/2; г) (a-1)/10 + a/15; д) (2x+3)/6 + (x-1)/8; е) (a-3)/10 - (2-x)/15.

Ниже вариант решения задания из учебника Никольский, Потапов 7 класс, Просвещение:
516 а) x/8-x/4;
б) a/6+a/8;
в) m2/3-2m/2;
г) (a-1)/10 + a/15;
д) (2x+3)/6 + (x-1)/8;
е) (a-3)/10 - (2-x)/15.
