Упражнение 964 ГДЗ Никольский Потапов 7 класс (Алгебра)
Решите уравнение (964—977): 964 а) x-11=17; б) 6+x=2; в) 12+x=-6; г) x+13=5; д) 7x=-14; е) -17x=51; ж) 6x=7; з) 2x=13; и) -x=2.

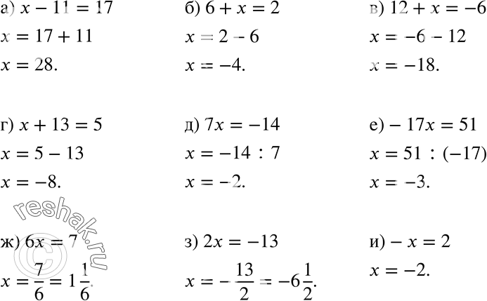
Ниже вариант решения задания из учебника Никольский, Потапов 7 класс, Просвещение:
Решите уравнение (964—977):
964 а) x-11=17;
б) 6+x=2;
в) 12+x=-6;
г) x+13=5;
д) 7x=-14;
е) -17x=51;
ж) 6x=7;
з) 2x=13;
и) -x=2.
