Упражнение 1277 ГДЗ Алимов 10-11 класс (Алгебра)
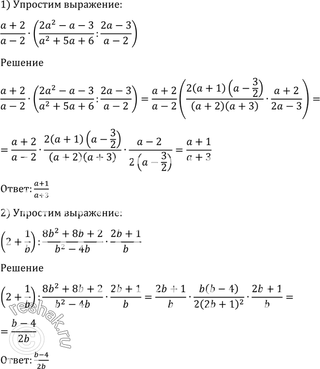
Упростить выражение (1277—1279). 1277


Ниже вариант решения задания из учебника Алимов, Колягин, Ткачёва 11 класс, Просвещение:
Упростить выражение (1277—1279).
1277


Ниже вариант решения задания из учебника Алимов, Колягин, Ткачёва 11 класс, Просвещение:
Упростить выражение (1277—1279).
1277