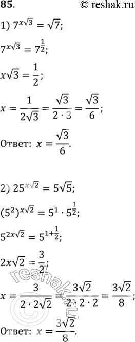
Упражнение 85 ГДЗ Алимов 10-11 класс (Алгебра)
85. 1)7x корень 3 = корень 7; 2)25x корень 2 = 5 корень 5; 3) (корень 2)x = 2 корень 2;




Ниже вариант решения задания из учебника Алимов, Колягин, Ткачёва 10 класс, Просвещение:
85. 1)7x корень 3 = корень 7;
2)25x корень 2 = 5 корень 5;
3) (корень 2)x = 2 корень 2;
4) (корень 3)3x = 3 корень 3.
