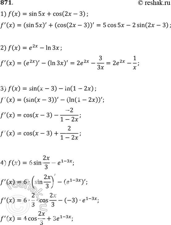
Упражнение 871 ГДЗ Алимов 10-11 класс (Алгебра)
871 1) sin 5x + cos (2x - 3); 2) e2x - ln 3x; 3) sin (x - 3) - ln (1 - 2x);


Ниже вариант решения задания из учебника Алимов, Колягин, Ткачёва 11 класс, Просвещение:
871 1) sin 5x + cos (2x - 3);
2) e2x - ln 3x;
3) sin (x - 3) - ln (1 - 2x);
4) 6 sin2x/3 — -e^(1-3x).
