Упражнение 147 ГДЗ Колягин Ткачёва 11 класс (Алгебра)
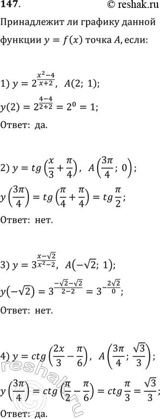
147. Принадлежит ли графику функции у = f (х) точка А, если: 1) y= 2 x2-4/x+2, A(2;1); 2) y=tg(x+2 + пи/4), A(3пи/4;



Ниже вариант решения задания из учебника Колягин, Ткачёва, Фёдорова 11 класс, Просвещение:
147. Принадлежит ли графику функции у = f (х) точка А, если:
1) y= 2 x2-4/x+2, A(2;1);
2) y=tg(x+2 + пи/4), A(3пи/4; 0);
3) y= 3 x2- корень 2/x2-2, A(- корень 2;1);
4) y=ctg(2x/3 - пи/6), A(3пи/4; корень 3/3)?
