Упражнение 2.8 ГДЗ Дорофеев Суворова 7 класс (Алгебра)
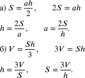
а) Из формулы площади треугольника s=ah/2 (рис. 2.6) выразите h и а. б) Из формулы объёма пирамиды V= Sh/3 (рис. 2.7) выразите h и S.

Ниже вариант решения задания из учебника Дорофеев, Суворова, Бунимович 7 класс, Просвещение:
а) Из формулы площади треугольника s=ah/2 (рис. 2.6) выразите h и а.
б) Из формулы объёма пирамиды V= Sh/3 (рис. 2.7) выразите h и S.
