Упражнение 2.9 ГДЗ Дорофеев Суворова 7 класс (Алгебра)
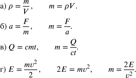
Из физической формулы выразите переменную m: а) P=m/v; б) a=F/m; в) Q=cmt; г) E=mv2/2. *Цитирирование задания со ссылкой на учебник производится исключительно в учебных целях для лучшего понимания разбора решения задания.

Ниже вариант решения задания из учебника Дорофеев, Суворова, Бунимович 7 класс, Просвещение:
Из физической формулы выразите переменную m:
а) P=m/v;
б) a=F/m;
в) Q=cmt;
г) E=mv2/2.
