Упражнение 5.28 ГДЗ Дорофеев Суворова 7 класс (Алгебра)
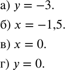
Опишите на алгебраическом языке прямые, изображённые на рисунке 5.25 a—г. *Цитирирование задания со ссылкой на учебник производится исключительно в учебных целях для лучшего понимания разбора решения задания.

Ниже вариант решения задания из учебника Дорофеев, Суворова, Бунимович 7 класс, Просвещение:
Опишите на алгебраическом языке прямые, изображённые на рисунке 5.25 a—г.
