Упражнение 5.29 ГДЗ Дорофеев Суворова 7 класс (Алгебра)
Опишите на алгебраическом языке: а) прямую, проходящую через точку 5 оси ординат и параллельную оси абсцисс; б) прямую, проходящую через точку (-5;

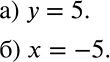
Ниже вариант решения задания из учебника Дорофеев, Суворова, Бунимович 7 класс, Просвещение:
Опишите на алгебраическом языке:
а) прямую, проходящую через точку 5 оси ординат и параллельную оси абсцисс;
б) прямую, проходящую через точку (-5; 2) и параллельную оси ординат.
