Упражнение 6.49 ГДЗ Дорофеев Суворова 7 класс (Алгебра)
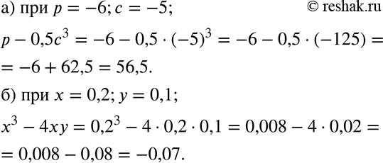
Вычислите: а) р-0,5с3 при р = -6, с = -5; б) x3-4ху при x = 0,2, у = 0,1. *Цитирирование задания со ссылкой на учебник производится исключительно в учебных целях для лучшего понимания разбора решения задания.

Ниже вариант решения задания из учебника Дорофеев, Суворова, Бунимович 7 класс, Просвещение:
Вычислите:
а) р-0,5с3 при р = -6, с = -5;
б) x3-4ху при x = 0,2, у = 0,1.
