Упражнение 6.45 ГДЗ Дорофеев Суворова 7 класс (Алгебра)
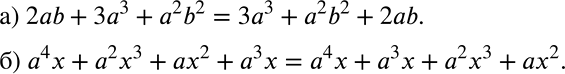
Расположите многочлен по убывающим степеням буквы а: а) 2ab + 3а3 + а2b2; б) а4х + а2х3 + ах2 + а3х.

Ниже вариант решения задания из учебника Дорофеев, Суворова, Бунимович 7 класс, Просвещение:
Расположите многочлен по убывающим степеням буквы а:
а) 2ab + 3а3 + а2b2;
б) а4х + а2х3 + ах2 + а3х.
